การเขียนสมการคณิตศาสตร์ใน Google Form

  • 0 ตอบ
  • 72 อ่าน

การเขียนสมการคณิตศาสตร์ใน Google Form

« เมื่อ: 20/02/2569 เวลา 07:08 AM »
ตั้งแต่มี google classroom และในนั้นมี google form อยู่ ทำให้เราทำข้อสอบประเภทปรนัยได้ง่ายมากยิ่งขึ้น เมื่อเด็กๆ ทำข้อสอบ สามารถตรวจสอบตัวเองได้ทันทีว่า ได้คะแนนเท่าไร และยังรู้อีกด้วยว่า ผิดข้อไหน จะได้หาทางแก้ไขได้

ผมได้ลองใช้ google form มาได้สักพักแล้ว ก็พบว่า นอกจากจะประหยัดกระดาษแล้ว ยังตรวจง่าย (เหมือนมีคนตรวจให้อัตโนมัติ) แถมคะแนนไม่มีหายอีกด้วย จะหยิบจับมาใช้ตอนไหนก็ย่อมได้

ล่าสุด ผมทดลองการสอบเก็บคะแนนด้วยการใช้ Google classroom ผมจะทำข้อสอบด้วย google form แล้วบันทึกเป็นฉบับร่างไว้ เมื่อถึงเวลาสอน ผมก็เดินไปห้องสอบพร้อมด้วยกระดาษทดสักรีม หลังจากที่แจกกระดาษทดแล้วก็ publish ข้อสอบออกไปใน google classroom ให้นักเรียนเข้าทำแบบทดสอบ เมื่อหมดเวลา ผมก็ปิด form ไว้

ตอนตรวจคะแนนก็ง่ายมาก แค่ import คะแนนจาก google classroom เพียงไม่กี่คลิกก็ตรวจเสร็จเรียบร้อย ประหยัดเวลาไปได้เยอะเลย

ปัญหาที่พบ (แต่น้อยมาก) นักเรียนเข้า google classroom ตัวเองไม่ได้ เพราะอีเมลที่ใช้ในโทรศัพท์ ไม่ใช่อีเมลที่ออกโดยโรงเรียน วิธีแก้คือให้นักเรียนล็อกเอาท์ออกก่อน แล้วล็อกอินด้วยอีเมลของโรงเรียนอีกครั้ง ที่สอบมา 5 ห้อง นักเรียนทำจากมือถือ 100% มีเพียง 1-2 คนเท่านั้นที่ต้องแก้ไขเฉพาะหน้า

มาถึงเรื่องสำคัญและใจความของบทความนี้ครับ แต่ก่อนผมต้องพิมพ์สมการด้วย โปรแกรม Mathtype จากนั้นก็แคปหน้าจอเอาเฉพาะสมการเก็บไว้เป็นภาพ เมื่อพิมพ์โจทย์ใน Google Form ก็ค่อยไปดึงเอาภาพเหล่านั้นมาแทรก

การทำขั้นตอนข้างต้น ทำให้เสียเวลาการพิมพ์สมการและแคปหน้าจอ ครอบภาพให้พอดี เก็บภาพไว้ แล้วต้องมาใส่ภาพทีหลัง ทำให้หลงๆ ลืมๆ ใส่ผิด ใส่ถูก เสียเวลา จนหลายคนที่เป็นครูคณิตศาสตร์ท้อถอยไปก่อน เลือกจะพิมพ์โจทย์ใน word แล้วโรเนียวไปสอบ และตรวจมือเหมือนเดิม

บทความนี้ผมอยากจะมาแชร์วิธีล่าสุดที่ผมคิดว่า น่าจะแก้ปัญหาตรงนี้ได้ ด้วยการใช้ extension ตัวหนึ่งบน google chrome ช่วยให้เราเขียนสมการได้ง่ายขึ้น เรามาเริ่มกันเลยครับ


ติดตั้ง EquatIO ใน Google Chrome เพื่อเขียนสมการคณิตศาสตร์

อันดับแรกให้พิมพ์ค้นหา คำว่า EquatIO ใน google แล้วเข้าไปที่ลิงค์แรกเลยครับ



คลิก เพิ่มใน Chrome



คลิก เพิ่มส่วนขยาย



เท่านี้ก็เสร็จเรียบร้อย ขั้นตอนการติดตั้ง EquatIO ใน google chrome จากนั้นเราก็จะพิมพ์สมการและแทรกสมการใน google form ต่อไปนครับ


การแทรกสมการจาก EquatIO ใน Google Form

เริ่มด้วยการเปิด Google Form ขึ้นมา ถ้าเป็นฟอร์มเปล่าๆ เราจะต้องเลือกว่าจะทำแบบทดสอบก่อนนะครับ โดยไปที่ สัญลักษณ์ฟันเฟืองแล้วกดเลือกแบบทดสอบ



จากนั้นกด แบบทดสอบ > ทำเป็นแบบทดสอบ > บันทึก



แต่ถ้าหากเป็นการทำ google form แบบทดสอบจาก Google Classroom เราแค่เลือกไปที่ สร้าง > งานแบบทดสอบ



เขียนรายละเอียดให้เรียบร้อย จากนั้นอย่าลืม กด นำเข้าคะแนนไว้นะครับ (กลับมากดทีหลังหลังจากสอบแล้วไม่ได้นะ) แล้วคลิกไปที่ Blank Quiz



ข้อเสียอย่างหนึ่งของการใช้ EquatIO คือ ไม่สามารถพิมพ์สมการคณิตศาสตร์ผสมกับภาษาไทยได้ เมื่อมันพิมพ์ผสมกันไม่ได้ เราก็ต้องปรับให้เป็นภาษาไทยกับ สัญลักษณ์คณิตแยกกัน แต่ให้ได้ใจความเดิม

แต่ถ้าไม่ได้จริงๆ ก็ใช้วิธีดั้งเดิม คือ แคปทั้งโจทย์เป็นภาพ ส่วนตัวเลือกก็พิมพ์สมการโดยใช้ EquatIO ต่ออีกที

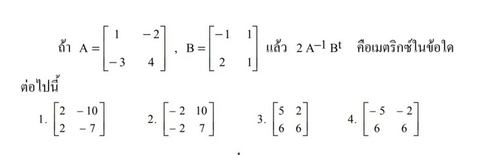
ผมจะยกตัวอย่างโจทย์เมทริกซ์ดังนี้



เป็นการยากที่จะแยกโจทย์ออกเป็นส่วนของภาษาไทย และสัญลักษณ์ ผมจึงแคปโจทย์ทั้งโจทย์ก่อน ส่วนตัวเลือกค่อยพิมพ์สัญลักษณ์ด้วย EquatIO ครับ

เมื่อผมแคปหน้าจอเสร็จแล้ว ปรับความยาวโจทย์ให้เป็น 2 บรรทัดอย่างนี้ครับ


จากนั้นก็อัปเข้า google form จะได้ดังภาพ คลิกที่สัญลักษณ์ summation สีฟ้า คือ EquatIO เพื่อเริ่มพิมพ์สัญลักษณ์คณิตศาสตร์





ถ้าเป็นสัญลักษณ์คณิตศาสตร์พื้นฐานทั่วๆ กดที่เครื่องหมาย summation แล้วเริ่มพิมพ์ได้เลย สัญลักษณ์ที่ใช้บ่อย ได้แก่
  • ยกกำลัง ให้พิมพ์ด้วย ^
  • ตัวห้อย ให้พิมพ์ด้วย _
  • เศษส่วน ให้พิมพ์ด้วย /






ถ้าเป็นสัญลักษณ์พิเศษอื่นๆ หรือคุณไม่รู้ว่าจะต้องเขียนอย่างไร สามารถใช้ Latex เขียนได้ เช่น เมทริกซ์ผมจะใช้ code Latex ช่วย เข้าไปที่เว็บไซต์  https://www.codecogs.com/latex/eqneditor.php



ระบบจะให้เลือก จำนวนแถวและหลัก ตัวเลือกของผม เป็น 2 แถว 2 หลัก ก็จะเขียนเป็น 2,2 จากนั้นกด ตกลง



เราจะได้โค้ด Latex ออกมา




จากนั้นพิมพ์ตัวเลขเข้าไปในโค้ด จากตัวเลือกของผมทั้งหมดเป็นดังนี้





ข้อ 1 สามารถพิมพ์ในโค้ดดังนี้ และสังเกตเห็นผลลัพธ์ด้านล่าง





เมื่อได้โค้ดเสร็จ ให้ copy โค้ดนั้นไปใส่ใน EquatIO โดยเลือกที่ LATEX > วางโค้ดลงไปในช่อง สังเกตเห็นผลลัพธ์ด้านขวา





เมื่อเราต้องการแทรกลงไปใน Google Form เราไม่สามารถกด Insert Math แล้วแทรกในทันที (โปรแกรมที่ใช้ฟรีอยู่ทำตรงนี้ยังไม่ได้) เราจะต้องทำการแทรกเป็นภาพ โดยคลิกที่ รูป copy > URL ดังภาพ





 ไปที่ตัวเลือกที่ 1 กดไปที่แทรกภาพ





เลือกไปที่ ใช้ URL > วางลิงก์ที่ copy (สังเกตตัวอย่างที่ขึ้น) > แทรกรูปภาพ





ในตัวเลือกที่ 2 ก็ทำทำนองเดียวกัน แต่คราวนี้จะเร็วขึ้นไป เพราะเมื่อเรากดที่ Latex เพียงเปลี่ยนตัวเลขในโค้ดเท่านั้น





จากนั้นก็ไปขั้นตอน copy ภาพจากฝั่งขวามือทำเหมือนเดิม จนได้ตัวเลือกที่ 2 ดังภาพ





จะสังเกตเห็น เร็วกว่าเดิมขึ้นเยอะเลยนะครับ

เราจะทำตามขั้นตอนประมาณนี้ไปเรื่อยๆ หากเป็นสมการง่ายๆ ก็ทำไม่ยาก แต่ถ้าสัญลักษณ์ที่ลืมไปแล้วก็ใช้ Latex ช่วยครับ